Association between life’s crucial 9 and lung health: a population-based study
生命の重要事項9(LC9)と肺の健康との関連: 人口ベースの研究
バックグラウンド
心血管の健康(CVH)評価ツールとして、Life’s Crucial 9(LC9)は、多くの場合、さまざまな慢性的な健康指標に関連付けられている。しかし、LC9と肺の健康の多因子要素との関連を調査した研究はいまだない。したがって、この研究は、LC9と肺の健康との相関関係を調査することを目的とした。
メソッド
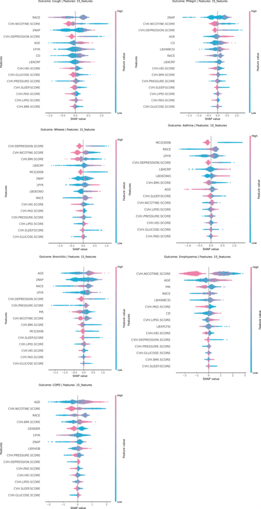
この横断研究では、完全なLC9および肺の健康データを持つ40歳以上の個人を対象としたNational Health and Nutrition Examination Survey(NHANES)のデータを使用した。線形関係の調査には重回帰が使用され、非線形関係の調査には制限付き3次スプライン(RCS)を使用した。サブグループ分析と交互作用検定により、関連性の安定性が実証した。Shapley Additive Explanations(SHAP)は、LC9を組み合わせて、肺の健康状態を予測するLight Gradient Boosting Machine(LightGBM)機械学習(ML)モデルを構築し、LC9コンポーネントのモデルへの寄与をソートした。
結果
合計10,461人の研究参加者のうち、1725人が低CVH、7476人が中等度、1260人が高CVHであった。LC9スコアと肺の健康との間には強い正の相関関係があった。この関連性は、サブコンポーネント層全体で一貫していた。RCS解析により、LC9と咳、喘息、COPDなどの呼吸器系転帰との間に非線形の関連が明らかになった。LC9を組み込んだLightGBMモデルは、曲線下面積(AUC)、精度、特異度において良好な指標を示し、肺の健康に対する優れた予測性能を示した。SHAP分析では、うつ病、ニコチン曝露、およびBMIスコアが、モデルの予測能力に対するLC9コンポーネントの主要な要因として特定された。

結論
LC9によって評価されたCVHが良好な個人は、肺の健康状態が良好である傾向があった。LightGBMモデルの組み合わせにより、より優れた予測結果が得られる可能性がある。
